Vary the parameters in the simulations found inprobe.zip.
Ensure that you can read/create Bode plots and plot the corresponding signals in the time-domain at a particular frequency.
Lab Description
Learn how compnesated scope probes work and how to use a compesnated scope probe correctly and effectively.
Lab Requirements
Show scope waveforms of a 10:1 probe undercompensated, overcompensated, and compensated correctly.
Comment on where the type of scope probe is set on your scope (some scopes detect the type of probe used automatically).
Draft
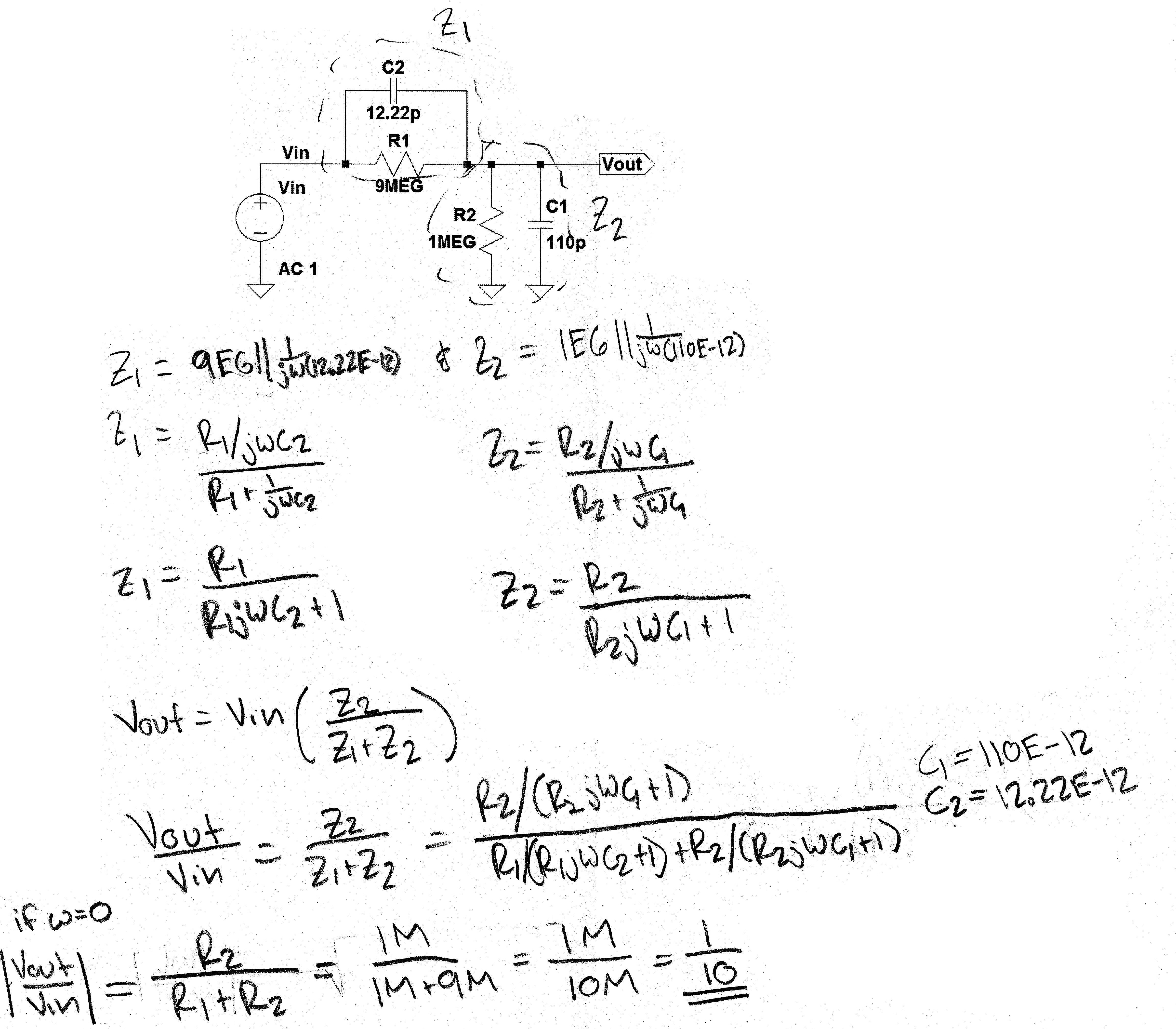
the schematic of a 10:1 scope probe showing: the 9 MEG resistor, 1 MEG
scope input resistance, capacitance of the cable, scope input capacitance, and capacitance in the probe tip.
Using
circuit analysis, and reasonable/correct values for the capacitances,
show using circuit analysis and alegbra (no approximations), that the voltage on the input of the scope is 0.1 the voltage on the probe tip.
Devise
an experiment, using a scope, pulse generator, and a resistor, to
measure the capacitance of a length of cable. Compare your measurement results to the value you obtain with a capacitance meter. Make sure you show your hand calculations.
Build
a voltage divider using two 100k resistors. Apply a 0 to 1 V pulse at 1
MHz to the divider's input. Measure, and show in your report, the
output of the divider when probing with a cable (having a length
greater than or equal to 3 ft) and then a compensated scope probe. Discuss and explain the differences.
Finally,
briefly discuss how you would implement a test point on a printed
circuit board so that a known length of cable could be connected directly to the board and not load the circuitry on the board.
Scope wavefroms (10:1)
Undercompensated
Overcompensated
Compensated Correctly
Scope probe setting
At the bottom right of the oscilloscope screen we can see two pins labeled "Probe Comp ~5V@1kHz"
Here is the probe we used, notice the black switch. It allows us to switch from x1 (1:1) to x10 (10:1).
The probe setting can be changed on the oscillosope to show the correct units.
10:1 Scope probe schematic Circuit Analysis of 10:1 scope probe Measuring the capacitance of a cable (~5ft)
Square wave input vs squre wave output (resistor-cable circuit)
Measured capacitance of cable
Measuring a 0-1V Square Wave 1MHz (Non-Compensated vs. Compensated)
Non-Compensated We see a flat line at approximately 0.3 volts. The large capacitance causes a large RC time constant. The frequency is so fast that the capacitance can not fully discharge
Compensated We see a charge and discharge signal around 0.3 volts. The smaller capacitance causes a smaller RC time constant. Although the frequency is fast, the small capacitance is able to dishcarge.
LT-Spice Simulation
Circuit
Analysis
Implementing a PCB Test Point When
designing a PCB board which will have coaxial cables directly connected
to it, one should include a capacitor (variable if possible) in
parrallel with the sampling resistor of the test point. By
connecting a known cable length, the user can then fine tune the
capacitor (in parrallel with the test point sampling resistor) for compensation.