Lab 1: Review of Basic RC Circuits - ECE 420L
Authored By: Joey Yurgelon
Email: yurgelon@unlv.nevada.edu
January 24, 2015
Pre-lab Work:
- Request a CMOSedu account and follow the editing pages tutorial
Lab Description:
- Students will analyze basic RC circuits, and compare experimental results to that of simulated/handwritten work.
Lab Requirements:
- Circuit schematic showing values and simulation parameters (snip the image from LTspice).
- Hand calculations to detail the circuit's operation.
- Simulation results using LTspice verifying hand calculations.
- Scope waverforms verifying simulation results and hand calculations.
- Comments on any differences or further potential testing that may be useful (don't just give the results, discuss them).
Experimental Results:
Exercise #1:
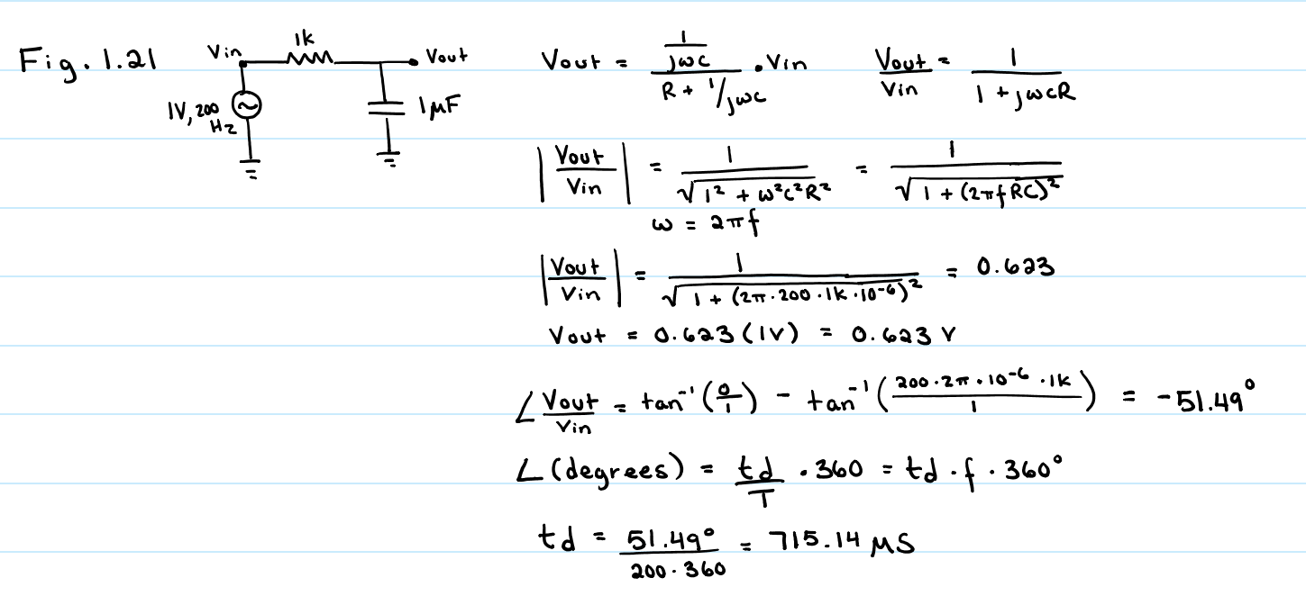
- This
first experiment consisted of analyzing the circuit seen in Fig. 1.21
in the course textbook. Through the calculations we were able to
determine the magnitude response as well as the phase response. This
phase response can then be used to determine a time delay between the
two signals. It is this time delay that we used to check if our
experimental results matched that of our hand calculations. As seen in
the hand calculations below, we obtained a time delay of 715.14us
between the input and output signals as well as a output voltage of
0.623V with a 1V input voltage. These values can be confirmed through
the LTspice simulation.

Hand Calculations for Fig. 1.21 | | XXX | Output Amplitude (Input Voltage = 1V) | Time Delay | | Hand Calculations | 0.623 V | 715.14uS | | LTSpice | 0.623 V | 714.45uS | | Experimental | 0.660 V | 720.0uS |
|
LTSpice Circuit for Fig. 1.21 | 
LTSpice Circuit Input/Output Waveforms |
 Time Delay Measurement - Blue: Vin; Yellow: Vout |  Amplitude Measurement - Blue: Vin; Yellow: Vout |
AC Analysis for Fig. 1.21
LTSpice
was used to calculate the bode plot for Fig. 1.22. The cursor
designates the frequency used in today's experiments, and is used to
show what magnitude and phase change one would expect to see. 
AC Analysis for Fig. 1.21 | | Frequency (Hz) | Vout - Output Magnitude (Input - 1V) | Phase Change | | 50 Hz | 953.6mV | -17.5 | | 100 Hz | 845.8mV | -32.2 | | 500 Hz | 302.5mV | -72 | | 1000 Hz | 156.7mV | -80.9 | | 10kHz | 15.91mV | -89 |
|
Exercise #2:
- This
exercise has a similar premise as the last. We had to calculate the
input and output relationship of the circuit, and the phase change.
That phase change would then correlate into a time delay between the
input/output that could be experimentally measured. With a 1V input at
200Hz, we obtained an output voltage of 0.694. The phase change of 6.84
degrees shows a 95us delay between input and output. We were able to
confirm this very well in the simulation. The experimental results were
very close, but instead of a 2uF cap, we used a 2.2uF cap as it was the
closest denomination in the lab. This resulted in a slight difference
between hand calculations and experimental results, but it was close
enough to confirm we were on the right path.

Hand Calculations for Fig. 1.22 | | XXX | Output Amplitude (Input Voltage = 1V) | Time Delay | | Hand Calculations | 0.694 V | 95uS | | LTSpice | 0.703 V | 97.5uS | | Experimental (2.2uF) | 0.760 V | 120.0uS |
|
LTSpice Circuit for Fig. 1.22 | 
LTSpice Circuit Input/Output Waveforms for Fig. 1.22 |
 Time Delay Measurement - Blue: Vin; Yellow: Vout - Fig. 1.22 |  Amplitude Measurement - Blue: Vin; Yellow: Vout - Fig. 1.22 |
Exercise #3:
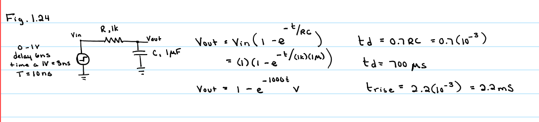
- The
purpose of this experiment was to experimentally see the RC time
constant of the circuit. The circuit used is that of Exercise #1, but a
different input signal is applied. The experiemtnal and simulation
results are shown below. Realized later that one of our probes seems to
be undercompensated, we should of seen this earlier and corrected
it. Hand calculations for the output voltage, the time delay, and the
rise time are seen below. My partner and I were able to calculate a
rise time of 2.2ms by hand calculations, and were able to confirm it
with and LTSpice simulation of 2.6ms.
LTSpice Circuit for Fig. 1.24 | 
LTSpice Circuit Input/Output Waveforms for Fig. 1.24 |

RC Time Constant Waveform for Fig. 1.24

Hand Calculations for Fig. 1.24
Return to EE 420L Labs